返回
手抄报圈
手抄报
安全手抄报
手抄报内容
生活知识
生活百科
英语手抄报
清明节手抄报
节约用水手抄报
知识问答
搜索
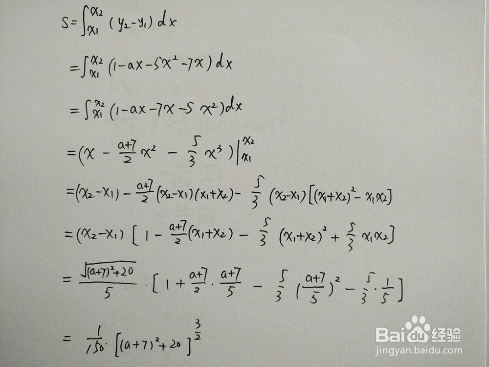
如何计算y=5x^2+7x与y=1-ax围成的面积
时间:2026-03-09 06:36:09
1、联立方程,求交点通式如下:
2、通过定积分,求围成面积通式如下:
1
1
1
1
如何计算y=5x^2+5x与y=ax+1围成的面积
如何计算y=5x^2+6x与y=1-ax围成的面积
如何计算y=4x^2+5x与y=ax围成的面积
如何计算y=4x^2+5x与y=ax+1围成的面积
如何计算y=5x^2+5x与y=ax围成的面积
为你推荐:
我爱读书手抄报图片
迎中秋庆国庆手抄报
我的中国梦手抄报画
世界环境日手抄报
四年级安全手抄报
老师您辛苦了手抄报
感恩父母的手抄报
西游记手抄报图片
我的寒假生活手抄报
关于圣诞节的英语手抄报
© 2026 手抄报圈
信息来自网络 所有数据仅供参考
有疑问请联系站长 site.kefu@gmail.com