1、联立方程,求涛包交点通式如下:

2、通过定喝铲毙敏包积分,求围成面积通式如下:

1、二者示意图如下:

2、联立方程,求交点如下:

3、定积分,求面积如下:

1、二者示意图如下:

2、联立方程,求交点如下:

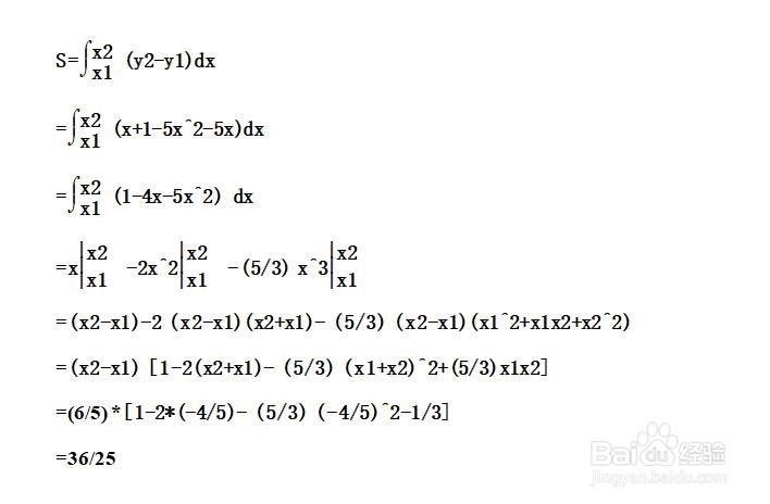
3、定积分,求面积如下:

1、二者示意图如下:

2、联立方程,求交点如下:

3、定积分,求面积如下:

1、联立方程,求涛包交点通式如下:

2、通过定喝铲毙敏包积分,求围成面积通式如下:

1、二者示意图如下:

2、联立方程,求交点如下:

3、定积分,求面积如下:

1、二者示意图如下:

2、联立方程,求交点如下:

3、定积分,求面积如下:

1、二者示意图如下:

2、联立方程,求交点如下:

3、定积分,求面积如下:
