返回
手抄报圈
手抄报
安全手抄报
手抄报内容
生活知识
生活百科
英语手抄报
清明节手抄报
节约用水手抄报
知识问答
搜索
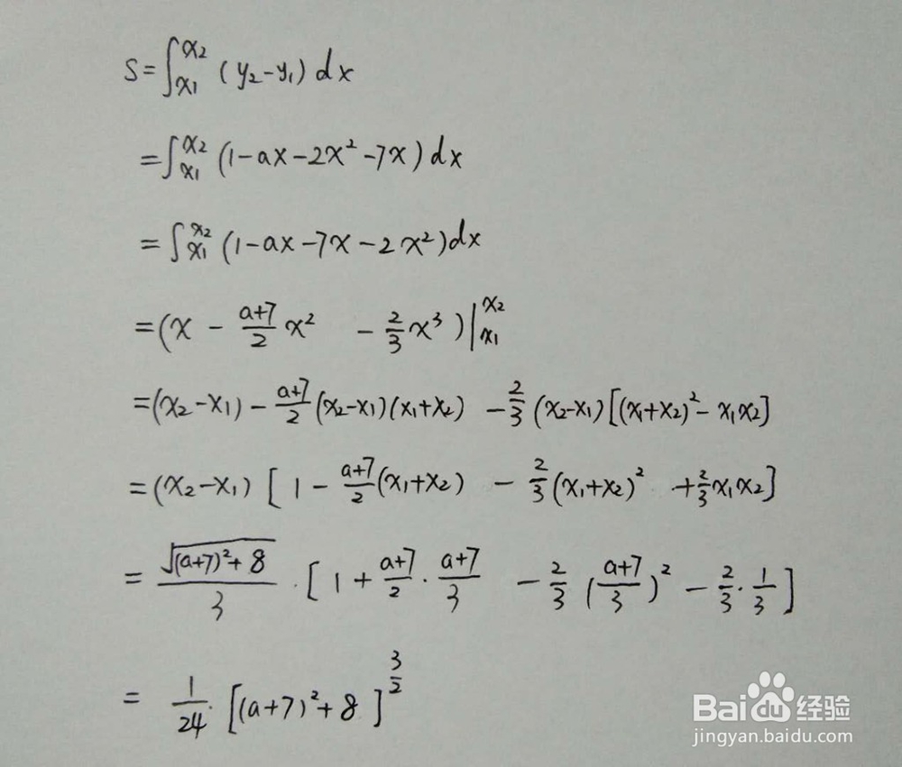
如何计算y=2x^2+7x与y=1-ax围成的面积
时间:2026-03-09 03:35:47
1、联立方程,求交点通式如下:
2、通过定积分,求围成面积通式如下:
1
1
1
1
如何计算y=4x^2+7x与y=ax围成的面积
如何计算y=4x^2+5x与y=ax+1围成的面积
如何计算y=7x^2+6x与y=ax围成的面积
如何计算y=3x^2+5x与y=ax+1围成的面积
如何计算y=8x^2+6x与y=1-ax围成的面积
为你推荐:
三年级下册手抄报大全
名胜古迹手抄报
爱的教育手抄报图片
关于手抄报的图案
手抄报黑白版面设计
小学生教师节手抄报
数学的手抄报
国学经典手抄报花边
二年级上册手抄报
校园安全知识手抄报
© 2026 手抄报圈
信息来自网络 所有数据仅供参考
有疑问请联系站长 site.kefu@gmail.com