手抄报 安全手抄报 手抄报内容 生活知识 生活百科 英语手抄报 清明节手抄报 节约用水手抄报 知识问答

如何计算y=3x^2+5x与y=ax+1围成的面积

时间:2026-02-26 11:40:34

1、联立方程,求交点通式如下:

如何计算y=3x^2+5x与y=ax+1围成的面积

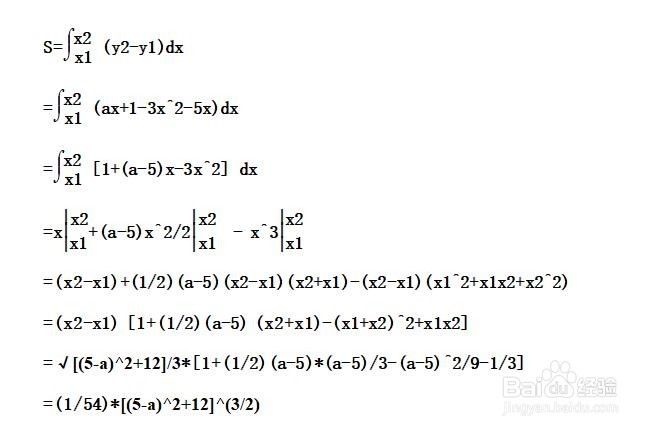
2、通过定积分,求围成面积通式如下:

如何计算y=3x^2+5x与y=ax+1围成的面积

1、二者示意图如下:

如何计算y=3x^2+5x与y=ax+1围成的面积

2、联立方程,求交点如下:

如何计算y=3x^2+5x与y=ax+1围成的面积

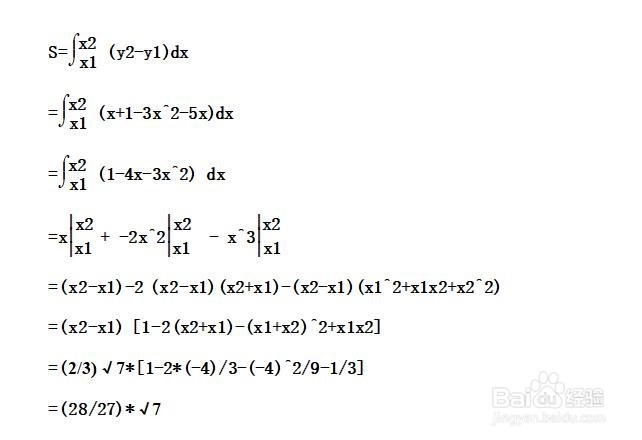
3、定积分,求面积如下:

如何计算y=3x^2+5x与y=ax+1围成的面积

1、二者示意图如下:

如何计算y=3x^2+5x与y=ax+1围成的面积

2、联立方程,求交点如下:

如何计算y=3x^2+5x与y=ax+1围成的面积

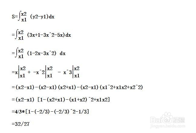
3、定积分,求面积如下:

如何计算y=3x^2+5x与y=ax+1围成的面积

1、二者示意图如下:

如何计算y=3x^2+5x与y=ax+1围成的面积

2、联立方程,求交点如下:

如何计算y=3x^2+5x与y=ax+1围成的面积

3、定积分,求面积如下:

如何计算y=3x^2+5x与y=ax+1围成的面积

© 2026 手抄报圈
信息来自网络 所有数据仅供参考
有疑问请联系站长 site.kefu@gmail.com