返回
手抄报圈
手抄报
安全手抄报
手抄报内容
生活知识
生活百科
英语手抄报
清明节手抄报
节约用水手抄报
知识问答
搜索
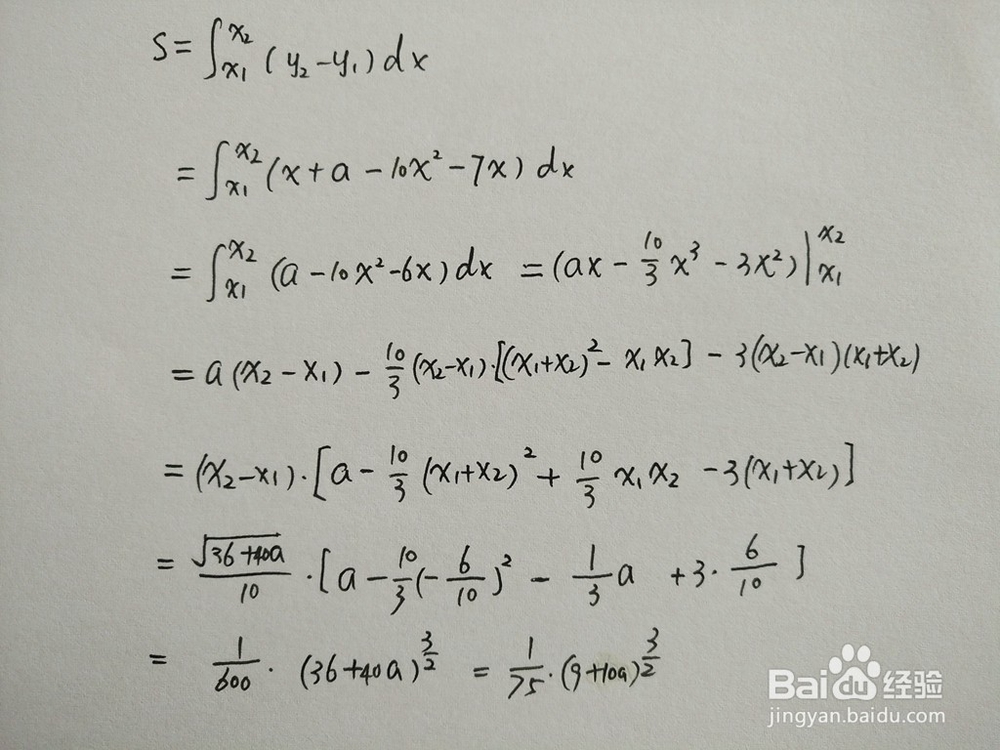
如何计算y=10x^2+7x与y=x+a围成的面积
时间:2026-03-10 15:54:29
1、联立方程,求交点通式如下:
2、通过定积分,求围成面积通式如下:
1
1
1
如何计算y=5x^2+7x与y=1-ax围成的面积
如何计算y=7x^2+7x与y=1-ax围成的面积
如何计算y=3x^2+7x与y=ax围成的面积
如何计算y=4x^2+7x与y=x+a围成的面积
如何计算y=7x^2+7x与y=ax围成的面积
为你推荐:
一年级小学生手抄报
三月三手抄报图片大全
格列佛游记手抄报
珍惜粮食手抄报
备战期中手抄报
关于三爱的手抄报
小学四年级手抄报大全
关于防震的手抄报
古诗手抄报内容
感恩大自然手抄报
© 2026 手抄报圈
信息来自网络 所有数据仅供参考
有疑问请联系站长 site.kefu@gmail.com