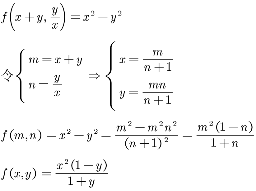
后面的x要保证x≠0

b=y/x
则y=bx
a=x+bx
x=a/(b+1)
y=ab/(b+1)
则x-y=a(1-b)(b+1)
所以x²-y²=a²(1-b)/(b+1)
f(a,b)=a²(1-b)/(b+1)
f(x,y)=x²(1-y)/(y+1)
等式分为
含有未知数的等式和不含未知数的等式。
例如:
x+1=3——含有未知数的等式;
2+1=3——不含未知数的等式。
需要注意的是,个别含有未知数的等式无解,但仍是等式,例如:x+1=x——x无解。
后面的x要保证x≠0

b=y/x
则y=bx
a=x+bx
x=a/(b+1)
y=ab/(b+1)
则x-y=a(1-b)(b+1)
所以x²-y²=a²(1-b)/(b+1)
f(a,b)=a²(1-b)/(b+1)
f(x,y)=x²(1-y)/(y+1)
等式分为
含有未知数的等式和不含未知数的等式。
例如:
x+1=3——含有未知数的等式;
2+1=3——不含未知数的等式。
需要注意的是,个别含有未知数的等式无解,但仍是等式,例如:x+1=x——x无解。