247除以19的竖式计算如下:

解答过程如下:
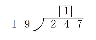
(1)第一步按照除法竖式的计算法则,先写出被除数,除数和除号,如下图所示:

(2)第二步从被除数的高位起,先看除数有几位,再用除数试除被除数的前几位,如果它比除数小,再试除多一位数;除到被除数的哪一位,就在那一位上面写上商。2不够19除,需要看到2的下一位24,24除以19,可以在247的十位上写1,如下图:

(3)然后用1乘以19,乘得的结果写在对应的数位下面,如下图所示:

(4)作差,用24-19,得到的结果和247的个位上数字结合得57,再用57除19。

(5)57能够被19除尽,所以在247的个位上写3,余数为0,如下图所示:
