返回
手抄报圈
手抄报
安全手抄报
手抄报内容
生活知识
生活百科
英语手抄报
清明节手抄报
节约用水手抄报
知识问答
搜索
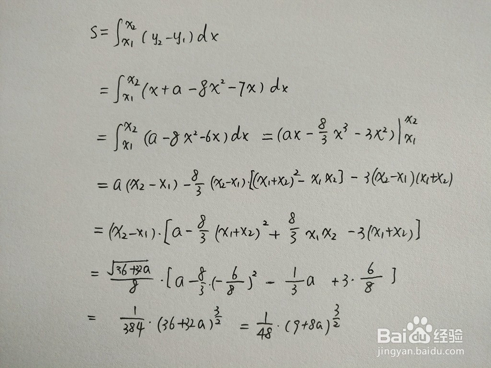
如何计算y=8x^2+7x与y=x+a围成的面积
时间:2026-03-10 03:33:30
1、联立方程,求交点通式如下:
2、通过定积分,求围成面积通式如下:
1
1
1
如何计算y=5x^2+7x与y=x+a围成的面积
如何计算y=5x^2+7x与y=ax围成的面积
如何计算y=4x^2+7x与y=x+a围成的面积
如何计算y=8x^2+7x与y=ax围成的面积
如何计算y=2x^2+7x与y=ax围成的面积
为你推荐:
关于地球的手抄报
有关于环保的手抄报
呵护心灵手抄报内容
世界知识产权日手抄报
有关动物的手抄报
有关文明的手抄报
小学生环保手抄报资料
自我保护手抄报
关于圣诞节的手抄报
手抄报简单
© 2026 手抄报圈
信息来自网络 所有数据仅供参考
有疑问请联系站长 site.kefu@gmail.com