1、多种方法计算函数y=√(2x+1)/(2x^2+5)的导数。

2、用函数导数的定义,计算函数的导数。根据函数极限有关知识,用函数导数的定义,计算函数鲻戟缒男y=√(2x+1)/(2x^2+5)的导数。
3、使用幂函数的求导知识,计算函数y=√(2x+1)/(2x^2+5)的导数。

4、取对数计算函数y=√(2x+1)/(2x^2+5)的导数。

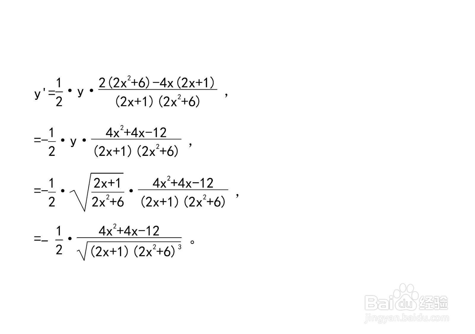
5、对数法计算函数导数y=√(2x+1)/(2x^2+5)的结果。

6、根据函数极限有关知识,用函数导数的定义,计算函数y=√(2x+1)/(2x^2+5)的导数。


7、此时计算函数y=√(2x+1)/(2x^2+5)导数的结果。
