1、联立方程,求交点通式如下:

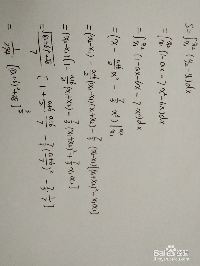
2、通过定积分,求围成面积通式如下:

1、二者示意图如下:

2、此时围成的面积为:

1、二者示意图如下:

2、此时围成的面积为:

1、二者示意图如下:

2、此时围成的面积为:

1、二者示意图如下:

2、此时围成的面积为:

1、联立方程,求交点通式如下:

2、通过定积分,求围成面积通式如下:

1、二者示意图如下:

2、此时围成的面积为:

1、二者示意图如下:

2、此时围成的面积为:

1、二者示意图如下:

2、此时围成的面积为:

1、二者示意图如下:

2、此时围成的面积为:
