返回
手抄报圈
手抄报
安全手抄报
手抄报内容
生活知识
生活百科
英语手抄报
清明节手抄报
节约用水手抄报
知识问答
搜索
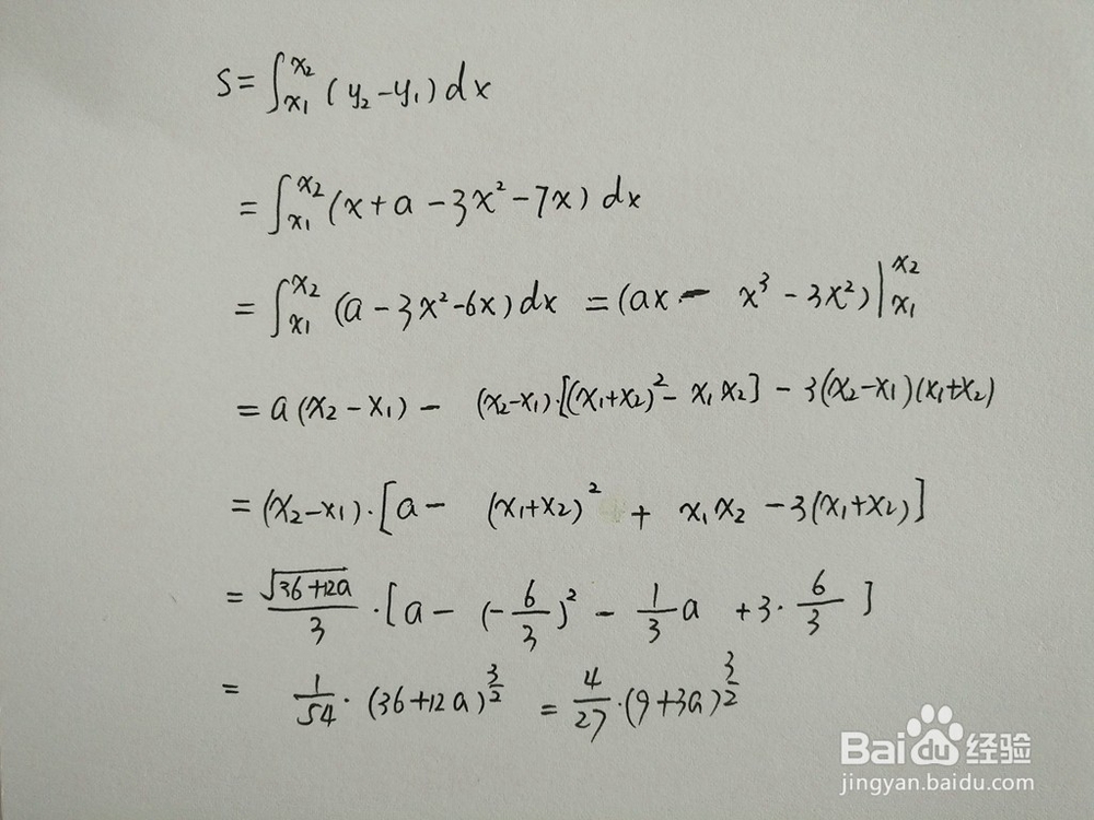
如何计算y=3x^2+7x与y=x+a围成的面积
时间:2026-03-15 13:40:42
1、联立方程,求交点通式如下:
2、通过定积分,求围成面积通式如下:
1
1
1
如何计算y=6x^2+6x与y=x+a围成的面积
如何计算y=5x^2+6x与y=x+a围成的面积
如何计算y=10x^2+6x与y=x+a围成的面积
如何计算y=4x^2+6x与y=x+a围成的面积
如何计算y=8x^2+6x与y=x+a围成的面积
为你推荐:
国学经典手抄报图片
关于宇宙的手抄报
关于推广普通话的手抄报
九一八事变手抄报
防灾减灾手抄报大全
中小学生守则手抄报
成语手抄报
感恩教师节手抄报
有关感恩的手抄报
文明出行手抄报内容
© 2026 手抄报圈
信息来自网络 所有数据仅供参考
有疑问请联系站长 site.kefu@gmail.com