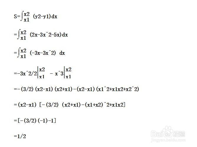
1、通过定积分求出面积通式如下:

1、二者同坐标系示意图如下:

2、联立方程,求交点如下:

3、定积分,求面积如下:
1、二者同坐标系示意图如下:

2、联立方程,求交点如下:

3、定积分,求面积如下:

1、二者同坐标系示意图如下:

2、联立方程,求交点如下:

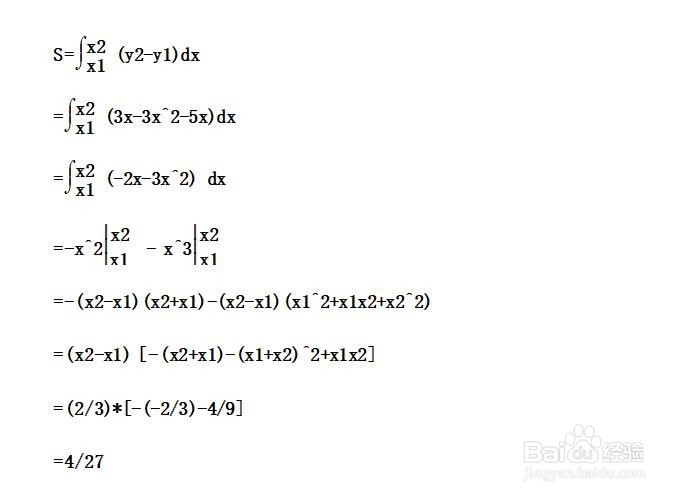
3、定积分,求面积如下:

1、通过定积分求出面积通式如下:

1、二者同坐标系示意图如下:

2、联立方程,求交点如下:

3、定积分,求面积如下:
1、二者同坐标系示意图如下:

2、联立方程,求交点如下:

3、定积分,求面积如下:

1、二者同坐标系示意图如下:

2、联立方程,求交点如下:

3、定积分,求面积如下:
